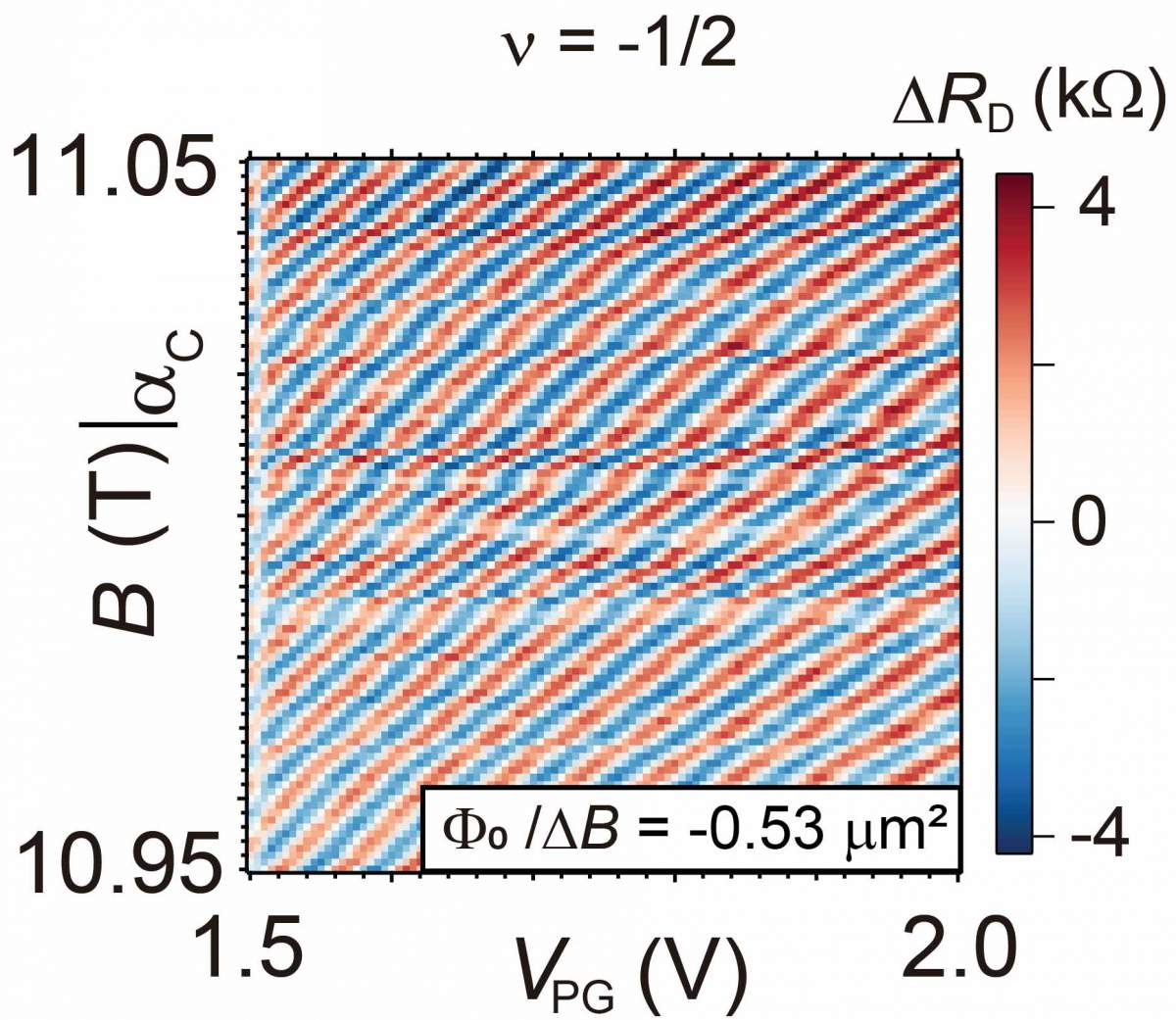
نمط التداخل الناتج عن مرور موجة من الأيونات السالبة حول جزيرة تحتوي على مجال مغناطيسي، ثم التقائها مجدداً بالموجة الأصلية. ومن خلال دراسة انحدارات الأهداب في هذا النمط، استنتج العلماء أن شحنة تعادل نصف إلكترون تحيط بالجزيرة.

نمط التداخل الناتج عن مرور موجة من الأيونات السالبة حول جزيرة تحتوي على مجال مغناطيسي، ثم التقائها مجدداً بالموجة الأصلية. ومن خلال دراسة انحدارات الأهداب في هذا النمط، استنتج العلماء أن شحنة تعادل نصف إلكترون تحيط بالجزيرة.

نمط التداخل الناتج عن مرور موجة من الأيونات السالبة حول جزيرة تحتوي على مجال مغناطيسي، ثم التقائها مجدداً بالموجة الأصلية. ومن خلال دراسة انحدارات الأهداب في هذا النمط، استنتج العلماء أن شحنة تعادل نصف إلكترون تحيط بالجزيرة.